Vídeos de Matemáticas I

En esta página tienes varios vídeos relacionados con la asignatura Matemáticas I. Para verlos en móviles o tablets tal vez tengas que pinchar en el icono que verás debajo de donde debería verse el vídeo.

Matrices

  1. Repaso de matrices (13 min)
    Repaso de los conceptos básicos sobre matrices, incluyendo el producto de matrices. Se corresponde con la sección 17.1 del libro.
    Puedes practicar el producto de matrices con el ejercicio 1 de la página 275 y 280.
  2. Cálculo de determinantes (7 min)
    Repaso del cálculo de determinantes de matrices hasta de orden 3x3. Se corresponde con el principio de la sección 17.2 del libro.
    Puedes practicar el cálculo de determinantes 3x3 con el ejercicio 2 de la página 281.
  3. Cálculo de inversas (15 min)
    Repaso del cálculo de matrices inversas. Se corresponde con la sección 17.4 del libro.
    Puedes practicar el cálculo de matrices inversas con el ejercicio 2 de la página 276 y los ejercicios 4 y 5 de la página 281.
  4. Cálculo de determinantes de orden 4x4 y superior (23 min).
    Se explica cómo reducir el orden de un determinante hasta reducirlo a uno 3x3. Se corresponde con el final de la sección 17.2 del libro, a partir del ejemplo 3b.
    Puedes practicar el cálculo de determinantes 4x4 con los ejercicios 2 y 3 de la página 276 y el ejercicio 3 de la página 281.

Cálculo de derivadas

  1. Descomposición de expresiones algebraicas (18 min)
    Aquí se explica lo necesario para entender la estructura de las funciones que vamos a manejar, imprescindible, entre otras cosas, para derivarlas correctamente. Se corresponde con el final de la sección 1.3 del libro, a partir de la página 21.
    Puedes practicar con el ejercicio 9 de la página 31, y también analizando las funciones de los ejercicios 6 y 7 de las páginas 107-108.
  2. Cálculo de derivadas I (34 min)
    Aquí se explica el uso básico de las reglas de derivación. Se corresponde con el principio del tema 6 del libro, hasta la sección 6.3 incluida.
  3. Cálculo de derivadas II (16 min)
    Aquí se explica el uso práctico de la regla de la cadena para derivar funciones compuestas. Se corresponde con la sección 6.4 del libro.
  4. Cálculo de derivadas III (22 min)
    Aquí se explican las reglas para derivar productos y cocientes. Se corresponde con las secciones 6.5 y 6.6 del libro.
  5. La diferencial de una función (9 min)
    Ejemplo de cálculo y uso de la diferencial de una función para aproximar un incremento. Se corresponde con el ejemplo 1 de la sección 10.1 del libro.
  6. La regla de la cadena (14 min)
    Ejemplo de uso de la regla de la cadena para derivar funciones compuestas. Se corresponde con el ejemplo 4 de la sección 11.1 del libro.

Cálculo de integrales

  1. Cálculo de límites (23 min)
    Algunos ejemplos de cálculo de límites.
  2. Cálculo de primitivas (29 min)
    Se explican las reglas básicas para calcular primitivas inmediatas. Se corresponde con las secciones 12.1 y 12.2 del libro (aunque en el vídeo están numeradas por error como 11.1 y 11.2).
  3. Ejemplos de integrales inmediatas (34 min)
    Ejemplos de aplicación de las reglas explicadas en el vídeo anterior. Concretamente, se resuelven algunos apartados del ejercicio 1 de la página 200 (desde el 4 hasta el 14). Puedes practicar con el ejercicio 2 de la página 200 (hasta el apartado 26).
    Errata: En el minuto 3:49 al resolver la integral debe poner 2x5 en lugar de 25x4.

  4. Integración por partes (22 min)
    Se explica el método de integración por partes. Se corresponde con la sección 12.3 del libro.
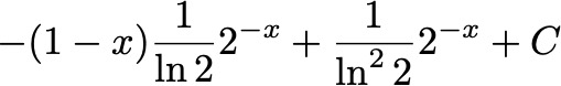
    Errata: En el minuto 19:50 falta un signo menos en la última integral escrita, con lo que el resultado final correcto es:
  5. Cálculo de una integral impropia (17 min)

Conceptos teóricos

  1. Continuidad (46 min)
    Este vídeo trata de explicar el concepto de continuidad y su importancia sin exceder el nivel de la asignatura.
  2. Límites (33 min)
    Aquí se explica el concepto de límite, siempre dentro de lo que permite el nivel de la asignatura.
  3. Derivadas (43 min)
    Se explica la definición y la interpretación geométrica de las derivadas parciales.
  4. Diferenciabilidad (54 min)
    En los primeros 37 minutos se explica el concepto de diferenciabilidad. En los 17 minutos restantes se explican los conceptos de dirección de máximo crecimiento, máximo decrecimiento y crecimiento nulo.
  5. La integral de Riemann (35 min)
    Se explica la definición de integral de Riemann. Errata  En el minuto 29 falta un cuadrado en una fórmula. La versión correcta es: