Y |
Y* |
e=Y-Y* |
100 |
114 |
-14 |
120 |
124 |
-4 |
120 |
134 |
-14 |
140 |
114 |
26 |
130 |
134 |
-4 |
130 |
124 |
6 |
150 |
134 |
16 |
130 |
134 |
-4 |
160 |
154 |
6 |
170 |
164 |
6 |
120 |
124 |
-4 |
120 |
124 |
-4 |
140 |
144 |
-4 |
150 |
154 |
-4 |
130 |
134 |
-4 |
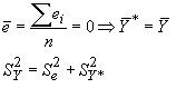
Analizando las variables Y* y e podemos ver que:
