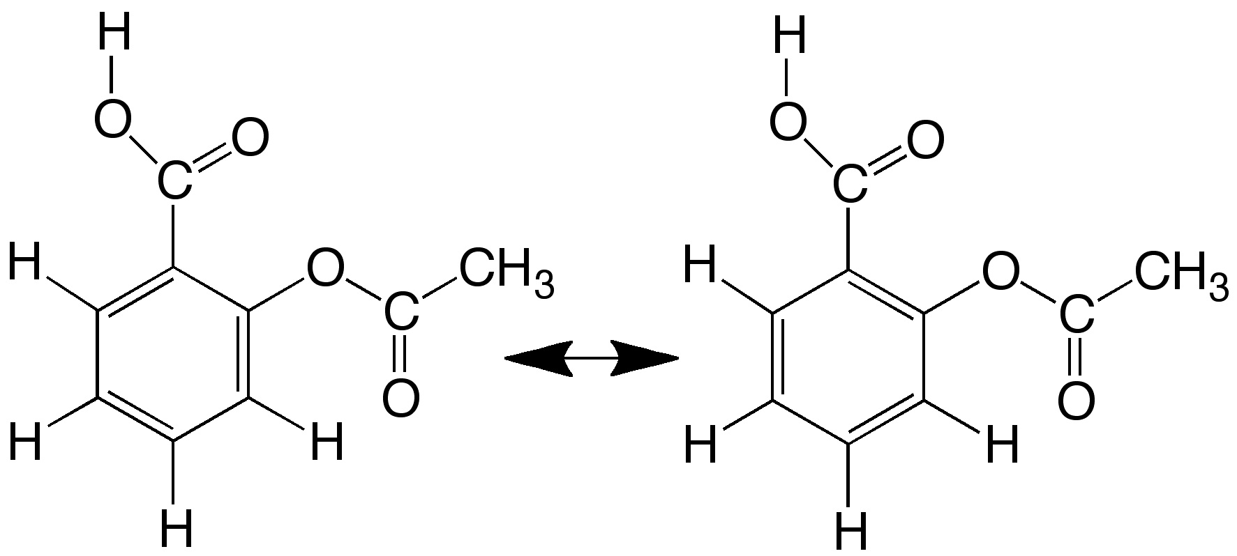
Salicylic acid, o-HO-C6H4-COOH, has a benzene ring substituted by two functional groups, alcohol, HO-, and carboxylic acid, -COOH, in ortho positions. The hydrogen atom of the alcohol group is substituted by an acetyl group, CH3CO-. The benzene ring forms a system of conjugated double bonds known as aromatic system . Although it is represented as alternated C-C and C=C bonds this is only one of the two resonance forms.

The properties of the aromatic ring are different from compounds with separated C=C double bonds (olefinic). An alternative representation of an aromatic system is the replacement of the three double bonds by a circle, highlighting the equivalence of C-C bonds in the ring.