Método de "descarga periódica" o "pulso" para medida de intensidades.
En el circuito de la figura, uno de los polos de la fuente de alta tensión (de voltaje
Vo) está unido, a través de una resistencia
R, al soporte del electroscopio, y el otro polo de la fuente lo está al electrodo de influencia del electrocopio. En primera aproximación consideraremos constante la capacidad
C del condensador cuyas armaduras son el soporte y el electrodo de influencia, de forma que la tensión
V(t) entre ellas y la carga
Q(t) son funciones del tiempo:
Si el contacto entre la hoja de aluminio y el electrodo de influencia ocurre para una tensión
V' (que depende sólo de la distancia entre el soporte y el electrodo de influencia) la cinta cede al electrodo una carga
Q'
donde T es el tiempo transcurrido entre que empieza la carga y que se realiza el contacto entre la hoja y el electrodo.
La intensidad que circula en el circuito es una corriente intermitente que decrece de forma exponencial
y cuyo valor medio, para un tiempo T es
El intervalo de tiempo
T, entre descargas del electroscopio (para una distancia fija entre placas) tal y como se deduce de la ecuación (1), depende del voltaje
V0 de la fuente y del voltaje de descarga
V',

(2)
de forma que la intensidad media generada por las descargas de periodo
T es:

(3)
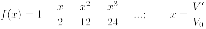
Si la tensión
V0 aplicada es grande (V'/V
0 <<1 ), podemos hacer un desarrollo en serie de potencias de la función
f(V'/V
0)
y obtener que cuanto más pequeña sea la relación
x = V'/ V0, la intensidad media más se aproxima al valor
V0/ R.
En la mayoría de los casos no nos interesará conocer el valor de la corriente sino que nos bastará con comparar dos intensidades. Para ello no es necesario conocer ni la capacidad
C del electroscopio ni la resistencia
R, sino que nos bastará con medir el periodo
T entre descargas ya que, de las fórmulas 2 y 3, se deduce de forma inmediata que la
intensidad media
es inversamente proporcional a la inversa del periodo T