Tema 10. Isomería.

10.2. Estereoisomería.

 

Al Indice

 

 

Estereoisómeros. Son compuestos con la misma secuencia de enlaces pero con diferente ordenación en el espacio. A continuación se muestran dos ejemplos de estereoisómeros. Observad que la secuencia de enlaces es idéntica en ambos.

 

Si dos moléculas tienen la misma conectividad de enlaces son estereoisómeros. Si son imagen especular una de la otra, se denominan enantiómeros y si no lo son se denominan diastereoisómeros. Alternativamente se puede decir que diastereoisómeros son estereoisómeros que no son enantiómeros. Vamos a ver algunos ejemplos.

 

Diastereoisómeros

 

Observad los siguientes grupos de tres diastereoisómeros. Ninguno de los compuestos es imagen especular de otro del mismo grupo. El átomo de P constituye un centro estereogénico ya que al intercambiar dos de los grupos a él unidos se obtiene otro diastereoisómero. Lo mismo sucede con el Pt en la otra pareja de diastereoisómeros.

 

 

 

Enantiómeros

 

La existencia de enantiómeros está normalmente asociada, pero no de manera invariable, a la presencia de al menos un centro de quiralidad o un eje de quiralidad en la molécula. Vamos a ver ejemplos ejemplos de enantiómeros con un centro de quiralidad.

En la siguientes moléculas el átomo de P constituye un centro de quiralidad ya que al intercambiar las posiciones de dos de los grupos unidos a él se genera una nueva molécula quiral, el otro enantiómero.

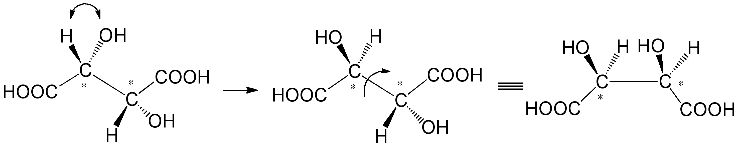
En el ácido tartárico tenemos ejemplos con dos centros de quiralidad en los átomos de carbono secundarios.

 

Observad que en este compuesto al intercambiar las posiciones de dos grupos en uno de los carbonos secundarios no se genera otra molécula quiral. La molécula resultante es otro estereoisómero denominado meso tartárico. Tiene un plano de simetria lo que hace que no sea quiral.

 

 

Los centros de quiralidad son tambien centros estereogénicos, sin embargo los centros estereogénicos pueden ser o no centros de quiralidad. El P en el ejemplo anterior es centro de quiralidad y estereogénico. Los C secundarios en tartárico son solo centros estereogénicos.

Una froma de representar la estructura de los estereoisómeros en 2D son las proyecciones de Fischer.

 

Los enantiómeros tiene idénticas propiedades, solubilidad, densidad, indice de refracción, espectro infrarrojo (IR), Raman o de Resonancia Magnética Nuclear (RMN). Hay varios experimentos que diferencian a los enantiómeros. De ellos el mas sencillo es la rotación optica o capacidad para desviar el plano de una luz polarizada.

Los diastereoisómeros tienen diferentes propiedes. Así el tartárico meso (2S,3R) funde 140º mientras las formas activas, 2S,3S y 2R,3R lo hacen a 170ºC. Tambien se comporta como ácido mas débil.

 

Al Indice