A Model of Dual Evolution of the Humanity
Mohamed Nemiche & Rafael Pla-López
Department of Applied Mathematics
Universitat de València, Spain
E-mail: mone@alumni.uv.es & Rafael.Pla@uv.es
Web: http://www.uv.es/~pla

ABSTRACT

They are many global models of evolution of humanity. Nevertheless, its real evolution has had a strong duality between orient and occident. In a last work(12) , the duality is reproduced by means of regional differences of some social behaviour, but it is somewhat a forced explanation.

In this work, we study a new approach to explain this duality, by combining changes in conditions of initialisation and the opposition gregariousness/individualism.

This model can help us to understand the implied processes in the humanity’s evolution, and to explain the form in which the dualism limits the globalisation or the globalisation can overcome the dualism, and if this eventual overcoming is a consequence of the domination of a part or of the convergence of different evolutionary lines.
 

1. INTRODUCTION: From a Model of Adaptive, Historical, Geographical, and Multidimensional Evolution with Resignation. We work from a mathematical model(4,5,6,7,8,10,11), to which we call model of Adaptive, Historical, Geographical and Multidimensional Evolution with Resignation, build from a General Theory of Learning(3), formulated in terms of the General Theory of Systems.

Pla-López and Castellar-Busó have simulated:

· the real processes that produce repressive social behaviours in the world real,
· the relationships that provoke these social behaviours among the population’s elements,
· their influence on the environment and
· the necessary conditions to be able to overcome the repression with less repressive and more satisfactory social behaviours.
The model is formed of a population of NP social systems in competition among them and integrated inside a common ecological environment. The social behaviours are characterised by means of a probabilistic distribution of the binary values of the multidimensional variable U º (Umax-1,…,U1,U0).

The model is composed by means of the interaction of several mathematical systems, which express the relation between the variables involved:

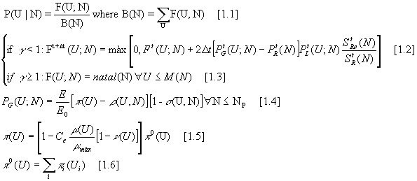
The core of the model is the Learning System, through positive and negative reinforcement: the probability (P) of each social behaviour (U), in each individual subsystem (N)of a social population, increases when his goal is fulfilled and decreases when it is not fulfilled from this social behaviour. If no social behaviour available to an individual subsystem produces goal fulfilment, then this subsystem can be destroyed.

The fulfilment probability (PG) depends on its technical possibility (p ), which is weighted by a factor determined by the social organisation (1-s ).

This factor is generated by a Repression System: each social behaviour, according to its repressive capacity (S), its scope (F ) in each individual system and the impact (IMP) between individual subsystems, produces a decrease of this factor for the different social behaviours.

Thus, each social behaviour (U) represses the other social behaviours, by decreasing its goal fulfilment.

A Relay System produces a random (a ) substitution (g ) of an individual subsystem for a "child subsystem" with initial equiprobability (natal) of every available social behaviours. A "child subsystem" can also occupy (A) the niche of some destroyed system. Thus, relay causes the loss of the information accumulated in the substituted individual system.

Also, a Science System determines the probability of learning (PL) for each social behaviour in each subsystem: the probability of the experience of the other subsystems, which is weighted by factors of emission (EM), reception (RE) and impact (IMP), is added to its own experience. This system expresses the relations of intellectual communication between different individual subsystems.

A Historical System simulates historical evolution through the random (b ) increase (d ) of the dimension (m) of the state-variable in each subsystem, and therefore of the number of its available social behaviours. The probability of evolution is increased (b) by the existence of social behaviour, which were theoretically not available but are forced by system science from the experience of other subsystems. This system expresses technological progress and technological diffusion (we characterise a technologically higher society by a greater capacity of choice between different social behaviours).

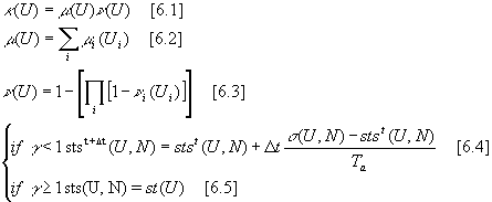
An Adaptive System determines

· the dynamic evolution (Ta) of the repressive capacity of a social behaviour in a subsystem toward its suffered repression (s ),
· from an initial value (st) when it is a "child subsystem",
· which depends on the might (m ), associated to the technological level, and on the ferocity (n ) of the social behaviour.
The adaptation time Ta expresses the delay in adaptation of produced repression (sts) to suffered repression (s ). Thus, with a low delay Ta, the produced repression equals quickly the suffered repression. On the contrary, with a high delay Ta, produced repression remains approximately constant.

A Resignation system expresses the influence of subjective factors through a tendency to a statistical normalisation of the reinforcement from satisfaction and dissatisfaction. We name this tendency "resignation", and express it by a time of delay (Tr) according to a model of systems dynamics: with a low delay Tr, the satisfaction will tend to be compared with its mean value, and the individuals subsystem tends to be resigned with global low values of satisfaction.

An Impact System express how the impact (IMP) on repression and intellectual communication depends on might m and distance (d)between subsystems.

A Natural System expresses a diversity of initial conditions (natal) of the individual systems. In its first version, this system is a rigid system, without neither feedback nor evolution.

Moreover, an Ecological System expresses the degradation of the environment as a consequence of the consumption in satisfaction and repression: the possibility of consumption decreases, so much in satisfaction like in repression, in order to recover the environment by means of the recycling.

The ecology is presented by means of a global variable (E) not negative. This variable will begin from an initial value (E0) sufficiently elevated like so that it were possible to be kept a consumption or in satisfaction or in repression, during all the evolution (E0= 2NP), as high as the whole of the active systems could sustain. Moreover, although the sum of this consumption during all the evolution can amount to the maximal level simultaneously, they won’t remain thus by cause of the degradation that the environment would suffer. Thus, this consumption in satisfaction and in repression contributes to the decrease of the resources, and so the variable E decreases and can reach the value zero (Ecological Hecatomb). Also, through processes of reutilization (r) and recycling (r ), it is possible the increase of this variable E, without overcoming its initial value E0 .

The difference between reutilization and recycling will be that the first didn’t include a cost which will characterise the second. This cost produces a decrease in the consumption in satisfaction, in repression or in both. Each individual system will tend to accept this cost by adapting its recycling to the ecological necessities with a delay Te .

Finally, a Delay System expresses the decrease of Adaptation Time Ta with might m and the increase of Resignation Time Tr with ferocity n , by means of the parameters Ka and Kr respectively. Moreover, Ecological Time Te increases with ferocity and decreases with might by means of a parameter Ke.

The mathematical relations are set out in Table 2.
 

2. DUALIZING MODEL

With the Adaptive, Historical, Geographical and Multidimensional Evolution with Resignation, we have studied the possible paths of global evolution through a Full Repressive Society to a Free Scientific Society. Nevertheless, in the real history of the humanity appears clear dualism between oriental and occidental evolutions.

In the last work(12), stimulating results have been obtained. Nevertheless, the approximation of regionalizing does not explain why the technical possibilities of satisfaction are different in different locations.

In the present work, we have changed the previous model by using a gregariousness/individualism approach and considering the influence of the evolution of the geographical natural conditions in order to modelling the outlined duality.

Now, we present the new relationships of the systems.

2.1. Repression System

Each social behaviour (U) represses the other social behaviours, by decreasing its goal fulfilment. In the previous model, the suffered social repression is
    s(U,N) = åU¹ V åMF(V,M) sts(V,M) IMP(M,N)
where sts(U,N) is the repressive capacity of U in a individual subsystem N .

    F(U,N) = P(U,N)2 /S
indicates the scope of U in the individual subsystem N, which a number S of active subsystems

IMP(M,N) is the impact of the system M on N,
    IMP(M,N) = åU P(U,M) imp(U,d)
where imp(U,d) is the impact of the behaviour V at the distance d (circular distance between the systems M, N) .

We will express now the repression with the formula
    s(U,N)=åU¹VåMF(V,M) sts(V,M) imp(V,M,N)
where imp(V,M,N) is the impact of the behaviour V at the distance between the systems M, N .

2.2. Natural system

In the previous model(4,5,6,7,8,10,11), the Natural System appears isolated without input variables.

In this work, we will make that initial conditions (natal) depend on the ecological factor. For that reason, we have included a new factor, to which we call factor of the evolution (km). Then we have changed the definition of the Natural System:

A Natural System(15) determines the dynamic evolution of the initial conditions (natal) of each individual subsystem N, in case of ecological degradation, from an initial value (natal0) toward an ideal value (ntl) with a delay (Tm ).

The value initial of natal is
    natal0(N) = mnatal + 240 d(NP/4,N)/NP ,
where mnatal=5

And the value of ntl and natal through the time will be
    ntl t(N) = (natal t(N) + 2 mnatal2)/(2 mnatal)
    natal t+100(N) = natal t(N) + (ntl t(N) — natal t(N))/km if ec<1,
where km=Tm/100 and ec=E/E0.
Else
    natal t+100(N) = natal t(N)

2.3. Science System

The science system determines the probability of learning (PL) for each social behaviour in each subsystem. In the previous model, the probability of learning is
    PL(U,N) = P(U,N) + RE(N) åM¹NP(U,M) EM(M) IMP(M,N)
where each individual system N has an emission factor EM(N) and a reception factor RE(N).P(U,N) is the probability of the behaviour U for the individual system N.

We will express now the probability of learning with the formula
    PL(U,N) = P(U,N) + RE(N) åM¹NP(U,M) EM(M,U) IMP(M,N)
where EM(M,U) = åVP(V,M) em(V,U) , and em(V,U) = f(U)V/15 expresses the capacity of emision of learning of an individual system with behaviour V on the behaviour U in other individual systems.

We use the REGINT(14) program to find the better function f(U) (which have to decrease with U) in order to get a dual evolution,
    f(U) = 3.180501 + 0.004214 U2 – 0.210115 U

We can see in Table 1 the values of f(U) and the capacity of emision of learning on the same behaviour, for the most significative behaviours (Fº15º1111 and Eº14º1110 in hexadecimal, decimal and binary mode, respectively).

Table 1

U 0 1 2 3 6 7 E F
f(U) 3.180501 2.974600 2.777127 2.588082 2.071515 1.916182 1.064835 0.976926
em(U,U) 0 0.198306 0.370283 0.517616 0.828606 0.894218 0.993846 0.976926

 

2.4. Impact System

In the previous model, the impact (imp) decreased lineally with the distance, and it were maximum when d=0, that is to say, on the own system. This effect only affected to the repression (between different social behaviours).

Now, we will change the impact function so that
    if U0 = 0 (gregarious behaviours), the impact is maximum when d=0, decreases with d and increases with natal, but
    if U0 = 1 (individualist behaviours), the impact is equal to zero when d=0, that is to say, the repression which is produced by such behaviours only acts on other social systems.

In the case of NP = 50 we will take:
    If U<=3 then imp(U,M,N) = (natal(N)/0.4429U)1-U0exp (-0.5c2) ((10.8+U)c)U0
    If 4<=U<=7 then imp(U,M,N) = (natal(N)/1.33859U)1-U0 exp (-0.5c2) (c(U+7.1)/6)U0
    If 8<=U<=F then imp(U,M,N) = (natal(N)/0.8U)1-U0 exp (-0.5c2) (cU/90)U0
where c = d/dis, with dis = U/2 .
We can see in Figure 1 two examples of these impact functions.

Figure 1

Gregarious Impact Individualist Impact
2.5. A specification of the Dual Model . In order to simplify calculations, we have worked with binary components of the state-variable U, with values 0, 1. We took
    pj(Uj) = Uj /mm
and therefore
    p(U) = åj¹0Uj/mm + (0.8)1-U0 /mm

Also, probability of recovery will be
    a(U) = 0.09(1-2U/MM)
from a social behaviour U, where j=0,1,…,mm-1, U=åjUj2jis the binary numeric representation of the social behaviour U º (Umax-1,…,U1,U0), MM=2mm –1 is the maximum state-value 1…11 with maximum dimension mm, and 0.09 is a value found in other works to avoid an early extinction of the population. Thus,
    A(N) = 0.09 – 0.18 P(U,N) U / MM
for the probability of substitution of a destroyed individual subsystem N.

Also, we will take
    rej(Uj) = Uj 2j /MM
and therefore the capacity of reception of the behaviour U will be
    re(U) = U/MM

On the other hand, might will be
    m(U) = åjmj(Uj) = åj Uj2j/(2 mm-1-1) = U/7
and ferocity will be
    n(U) = 1-Õ j [1- nj(Uj) ] = 1-Õ j [1- (1-Uj)j/(mm-1) ] = 1-Õj/Uj=0 (3-j)/3
and therefore
    st(U) = [2U/(MM-1)][1-Õj/Uj=0 (mm-1-j)/mm-1)]

We take Ktnt=20000, Kprg=10000 and NP=50, and we work with a maximum dimension mm=4 (and therefore MM=15) .

We speak about predominance of a state U if its probability is the majority (P>0.5) in a relative majority of subsystems. And we speak about strong predominance if moreover its probability of satisfaction (PG) is the maximum.

The Figure 2 shows graphically the relationships of our Model of Dual Evolution of the Humanity.
 
 

Figure 2
Relationships in the Model


 
 

Table 2

Mathematical relations in the model of Adaptive, Historical, Geographical and Multidimensional Evolution with Resignation

Resolution Level

Learning System

Repression System

Science System

Relay system

Historical System

Adaptation System

Resignation System

Ecological System

Delay system

Impact System

Natural System

 
 

3. RESULTS AND INTERPRETATION With the new Model we have obtained an evolution with behaviours 1-3-7-F ("individualists") in the "occidental" area and 0-2-6-E ("gregarious") in the "oriental" area, which can be explained because in the "oriental" area (with next 37.5) natal has a superior initial value, and so the bigger "gregarious" impact which is generated can compensate the bigger intrinsic satisfactoriness of the "individualistic" behaviours.

A possible interpretation of the dimensions and behaviours would be

Dimension m=0: primitive society

Dimension m=1: agricultural revolution
        U=0000=0: Oriental Empire
        U=0001=1: Occidental Slavery

Dimension m=2:technological increase
        U=0010=2: Oriental Feudalism
        U=0011=3: Occidental Feudalism

Dimension m=3: industrial revolution
        U=0110=6: State Socialism
        U=0111=7: Capitalism

Dimension m=4: technological revolution
        U=1110=E, U=1111F: Free Scientific Society

Other values of U can represent anomalous social behaviours (Fascism, Stalinism…) that appear for what we have called "revolt effect"(9).
 

4. CONCLUSIONS We show an interesting result in Figure 3: after of a dual evolution with capitalism in "occidental" zone and state socialism in oriental zone, a globalisation of capitalism arrives.

Unfortunately, the program stop without showing if a free scientific society would arrive to predominate…

If this result simulates the evolution of the humanity in the Earth planet, it will describe the capitalism as an unique mode of production in the world, without rivals neither alternative at short term. The survival of "state socialist societies" as China, North Korea, Vietnam or Cuba, would express a voluntarist desire of resisting to its widespread crumbling and, if we are abided by the course of the events, sooner or later they would finish being absorbed by the world capitalism(13).

This situation doesn't imply that the capitalism had triumphed forever (our model not says so much), neither that it were the best social system: on the contrary, in these system there are many social inequality, poverty.and opression (specially between different countries), which only could be overcome in the hardly reachable Free Scientific Society...
 
 

Figure 2
An example of dual evolution from the model

T=Time, EC=Ecology, S=Number of active systems

    T    Majority Behaviour in the Population (N from 1 to NP)            EC   S
    0    00000000000000000000000000000000000000000000000000 1.00 31
  100    --0000000000 000000-00000000000000000000-0-000000- 1.00 49
  200    -1-00000000  -0000010-0000000000000000001010000001 1.00 48
  300    1110000000   - 0000101000000000000000-001010000001 1.00 46
  400    111000000 -  1  0001010-00-0 00-00-00-001-1-000001 1.00 44
  500    11100000  1  1-   0-01010010 00100100-001111---001 1.00 42
  600    1110000-  1  11  - 10-010010 0010-10--0011-1111001 1.00 42
  700    1-1000 - -1  11  1 10101001- 0010110---01111111001 1.00 42
  800    11-- - 1 11  11- - 1 1-10011 001011----011111-1--1 1.00 41
  900    1111 1 1 1-  111 1 1 1110011 0010111---01111111111 1.00 41
 1000    1111 1-1 1-  -11 1 1 111001--001011----01-11111111 1.00 43
 1100    1111 111 -1  111 1 1 111 01110010111---0-111111111 1.00 42
 1200    1111 111 11  111-1 1 111  111001011--2-0-111111111 1.00 42
 1300    1111 1-1 11- -1111-1 1-1  111001011--220--11111111 1.00 44
 1400    1111-111 111 1-11111 111  11100101---22 --11111111 1.00 44
 1500    11--11-1 111 1-11111 111  11100101---22 --11111111 1.00 44
 1600    11111111 111 1311111 111  111  1-1---22 --11111111 1.00 42
 1700    11111111-111 -311111-11-  11-  111--222 --11111111 1.00 44
 1800    11111111-11- 33311111111- 111  111--222 22---11111 1.00 45
 1900    -1-11-111113 333--1111111 111  11---222 2---1111-1 1.00 45
 2000    -111111111-3 333--111111- 11-  11--2222 2-2-111--1 1.00 45
 2100    1111111-11-3 333---111111 111  11-22222 2---111111 1.00 45
 2200    111111113-33 333--1111111-11-  1-222222 2---111111 1.00 46
 2300    111111113333 -3333-1-11111111  --222222 2-----1111 1.00 46
 2400    11--111-33-3 -3-33-11-1111111- --222222-2-----111- 1.00 48
 2500    1111113--3-3 -3-33-311111111-- 22-22222-2------1-1 1.00 48
 2600    111111-3-3-3 -3--333-11111111- 22-222--22------111 1.00 48
 2700    111-1--3-3-3 -3---33-11-1111----2-222--2--------11 1.00 49
 2800    --1------3-3 -3-3-33--11-11-----2--22--2---------1 1.00 49
 2900    ---------3-- -3----33-11111-----27--2----7-------- 1.00 49
 3000    ----------7- 737----331-111-----2 --2-6--6-------- 1.00 48
 3100    --------7-77 737---------11------ ----6----------- 1.00 48
 3200    --------7-77 7-7---------11------ ----6----------- 1.00 48
 3300    --------7777 7-7-7-7------------- ----66---------- 1.00 48
 3400    -----77-7777 7-7-777------------- ---66666-------- 0.97 48
 3500    -----77--777-7-777777------------ -66666666------- 0.91 49
 3600    ----777--77-777777777------------ 6666-6666666---- 0.81 49
 3700    ---777-77777777777777----------6- 6666-6666666---- 0.68 49
 3800    ---777-777777777-7777-7--------6- 6666--666666---- 0.50 49
 3900    --7777 -777 7777-7777 77-------6- 66-6--666 66---- 0.33 45
 4000    --5777   77  7 7 7777 7 - 5  --6  6--6-A-6  66E -  0.21 33
 4005    -- 777   77  7 - 7777 7 -    ---  ---6- -6  66  -  0.16 28
 4105     - 777    7  7   7777 7 -    6--  -- 6- -6  6-  -  0.21 24
 4205     - 7 -    7  7   7-77     -  6-   -  6  -   6-  -  0.28 18
 4305     - - 5    7  7   7-77     -  6-      6      6   -  0.41 15
 4310     - -      7  7   7-77     -  6-      6      6   -  0.62 14
 4410     - -      7  7   7 77     -  6-      6      -   F  0.92 13
 4510     -        7  7   7 77     -  6       6      -   F  1.00 11
 4610     -       -7  7   7 77  -  -  6       6      -   -  1.00 13
 4710     -       -7  7   7 77  -  7  -    -  6      -   -  1.00 14
 4810     -       77  7   7 77  7  7  -    -  6      -   -  1.00 14
 4910     -       77  7   7 7-  -  7  -    -  6      -   -  1.00 14
 5010     -       77  7  -7 7-  -  7  -    -  -      -   -  1.00 15
 5110    --       7-  7  -7 77  7  7  -    -  -   -  -   -  1.00 17
 5210    --       7-  7 -77 77  7 -7  -    -  -   -  -   -  1.00 19
 5310    --       77  - 777 77  7 -7  -    -  -   -  -   -  1.00 19
 5410    --   -   77  7 77- -7  7 -7  -    -  -   -  -   -  1.00 20
 5510    --   -   -7  7 777 77  7 77  -    -  -   -  -   -  1.00 20
 5610    --   7   77  7 777 77  7 77  -    -  -   -  -   -  1.00 20
 5710    --   7   77  7 777 77  7 77  7    -  -   -  -   -  1.00 20
 5810    77   7   77  7 777 77  7 7-  7    -  -   -  -   -  1.00 20
 5910    77   7   77  7 777 77  7 7-  7    -  -   -  --  7  1.00 21
 6010    7-   7   77  7 777 77  7 77  7    -  -   -  7-  7  1.00 21
 6110    7-   7   77  7 777 77  7 77  7    -  -   -  7-  7  1.00 21
 6210    77   7   77  7 7-- 77  7 77  7    7  -   -  7-  7  1.00 21
 6310    77   7   77  7 777 77  7 77  7    7  7   7- 77  7  1.00 22
 6410    77   7   77  7 777 77  7 77  7    7  7   7- 77  7  1.00 22
 6510    77   7   77  7 777 77  7 77  7    7  7   7- 77  7  1.00 22
 6610    77   7   77  7 777 77  - 77  7    7  7   7- 77  7  1.00 22
 6710    77   7   77  - 777 77  - 77  7    7  7   7- 77  7  1.00 22
 6810    77   7   77  7 7-7 -7  7 -7  7    7  7   77 77  7  1.00 22
 6910    -7   7   77  7 777 77  7 -7  7    7  7   77 77  7  1.00 22
 7010    -7   7   77  7 777 77  7 -7  7    7  7   77 7-  7  1.00 22
 7110    77   -   77  7 777 77  7 77  7    7  7   77 --  7  1.00 22
 7210    7-   7   --  7 777 77  7 77  -    7  7   -- -7  7  1.00 22
 7310    7-   7   77  7 777 77  7 77  -    7  7   -- 77  7  1.00 22
 7410    77  -7   77  7 777 77  7 77  7    7  7   -- 77  -  1.00 23
 7510    77  -7   77  - 777 77  7 77  7    7  -   7- 77  -  1.00 23
 7610    -7  77   77  7 777 77  7 77  7    7  -   7- 77  7  1.00 23
 7710    -7  77   77  7 777 77  - 77  7    7  -   7- 77  7  1.00 23
 7810    77  77   77  - -7- 77  - 77  7    7  7   77 77  7  1.00 23
 7910    7-  7-   77  7 777 77  7 77  -    7  7   77 77  7  1.00 23
 8010    -7  77   77  7 777 77  7 77  -    7  7   77 7-  7  1.00 23
 8110    -7  77   77  7 7-7 77  7 77  7    7  7-  7- 7-  7  1.00 24
 8210    77  77   77  7 777 7-  7 77  7    7  7-  7- 77  7  1.00 24
 8310    77  77   77  7 77- -7  7 77  7    7  7-  -- 77  7  1.00 24
 8410    77  77   77  - 777 77  7 77  7    7  77  -- 77  7  1.00 24
 8510    77  77   7-  7 777 77  7 77  7    7  77  7- 77  7  1.00 24
 8610    77  77   77  7 777 77  7 7-  -    7  77  7- 77  7  1.00 24
 8710    77  -7   77  7 777 77  7 7-  -    7  77  77 77  7  1.00 24
 8810    77  77   77  7 777 77  - 77  7    7  77  77 77  7  1.00 24
 8910    77  77   77  7 777 77  - 77  7    7  77  77 -7  7  1.00 24
 9010    77  77   77  7 777 77  7 77  7    7  77  77 77  7  1.00 24
 9110    7-  77   -7  - 777 77  7 77  7    7  77  7- 77  7  1.00 24
 9210    77  77   77  7 777 77  7 -7  7    7  77  7- 7-  7  1.00 24
 9310    77  7-   77  7 -77 77  7 -7  7    7  77  7- 7-  7  1.00 24
 9410    77  77   77  7 77- 77  7 -7  7    7  77  77 77  -  1.00 24
 9510    77  77   77  7 777 77  7 77  7    7  77  77 77  7  1.00 24
 9610    -7  77   77  7 777 77  7 77  7    -  77  77 77  7  1.00 24
 9710    77  77   77  7 777 -7  7 77  7    -  77  77 -7  7  1.00 24
 9810    77  77   77  7 777 77  7 7-  7    7  -7  77 -7  7  1.00 24
 9910    77  77   77  7 777 77  7 7-  7    7  -7  77 77  7  1.00 24
10010    77  7-  -77  7 777 77  7 77  7    7  77  77 77  -  1.00 25
 

 
 







REFERENCES

  1. Engels, F. (1 884), "Der Ursprung aus der Familie, der Privateigentum und der Staat", Zurich (translated to Spanish as "El Origen de la Familia, la Propiedad Privada y el Estado", Fundamentos, Madrid, 1970).
  2. Godelier, M, "Schémas d'evolution des sociétés" (translated to Spanish as "Esquemas de evolución de las sociedades", Miguel Castellote Editor, aprox. in 1970).
  3. Pla-López, R. (1988), "Introduction to a Learning General Theory", in Cybernetics and Systems: An International Journal, 19, 411-429, Hemisphere Publishing Corporation, The Austrian Society for Cybernetic Studies, 1988.
  4. Pla-López, R (1989), "Models of Historical Evolution: altemating ends", Congrés Européen de Systémique, Lausanne.
  5. Pla-López, R (1990), "Models of Multidimensional Historical Evolution", in R.Trappl ed., Cyberneties and Systems'90, World Scientific, Singapore, 575-582.
  6. Pla-López, R (1992), "Model of Adaptive, Historical and Multidimensional Social Learning", in R.Trappls ed., Cyberneties and Systems Research'92, World Scientific, Singapore, 1005- 1012.
  7. Pla-López, R (1993), "The Role of Subjective Factor in Social Evolution", in Second European Congress on Systems Science, Prague.
  8. Pla-López, R. and Castellar-Busó (1994), "Model of Historical-Geographical Evolution", in R.Trappl ed., Cybernetic and Systems'94, World Scientific, Singapore, vol. 1, 1049-1056.
  9. Pla López, R (1996a), ¿Cuánto puede perdurar una revuelta?, in 1ª Reunión Española de Ciencias de Sistemas, València. Published in Revista Internacional de Sistemas, vol.8, Nro.1-3, 1996, pp.59-73. (http://www.uv.es/~pla/CUANTOPE.DOC)
  10. Pla-López, R (1996b), "Social and Ecological Consequences of Adaptive Pacifism and Unsubmission", in 3rd.European Congress of Systems (CES3), Roma. (http://www.uv.es/~pla/socecapa.doc)
  11. Castellar-Busó and Pla-López (1997), "Un modelo de desarrollo sostenible opuesto a la hecatombe ecológica", in 14th International Conference of WACRA-Europe on Sustainable Development, Madrid. Published in Revista Iberoamericana de Autogestión y Acción Comunal, 32, pp.151-162. ( http://www.uv.es/~buso/wacra/wacra_cas.html )
  12. Pla-López, R. and Castellar-Busó (1999), "Models of Dual Social Evolution" in 4éme Systems Science European Congress, València. ( http://www.uv.es/~buso/modduale/modduale.html )
  13. Jose Maria Vidal Villa (1996), " Mundialización", ICARIA editorial, s.a.
  14. A. Caselles, "REGINT", program in C language, Department of Applied Mathematics, Universitat de València, Spain (E-mail Antonio.Caselles@uv.es, URL http://www.uv.es/~caselles/regint.exe).
  15. Temre, R. and Pla-López, R. (1999), "Un Modelo Matemático de Influencia de las Condiciones Naturales en la Evolución Social", in Revista Internacional de Sistemas, vol.9, 1-3, pp.81-102 ( http://www.uv.es/~temre/trabajo.zip )