Bonding in organic compounds 1

⇐ To index

 

The right window shows the structure of the aspirin molecule of (acetylsalicylic acid). It is an interactive image that can be reoriented using the cursor and moving the mouse. Placing the cursor over each sphere shows atom identity. C#1 indicates that it is the carbon atom number 1. (Each atom has a serial number within the molecule).

All atoms are connected by one line regardless of the order of bond that unites them. It is easy to measure distances and bond angles between different atoms of the molecule and obtain useful information.

 

Once you analyze the model select which of the following figures best represents the bonding system in the molecule. For average values of bonding distances.

 

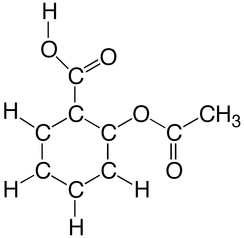
Wrong. Check out the links of hexagonal ring.
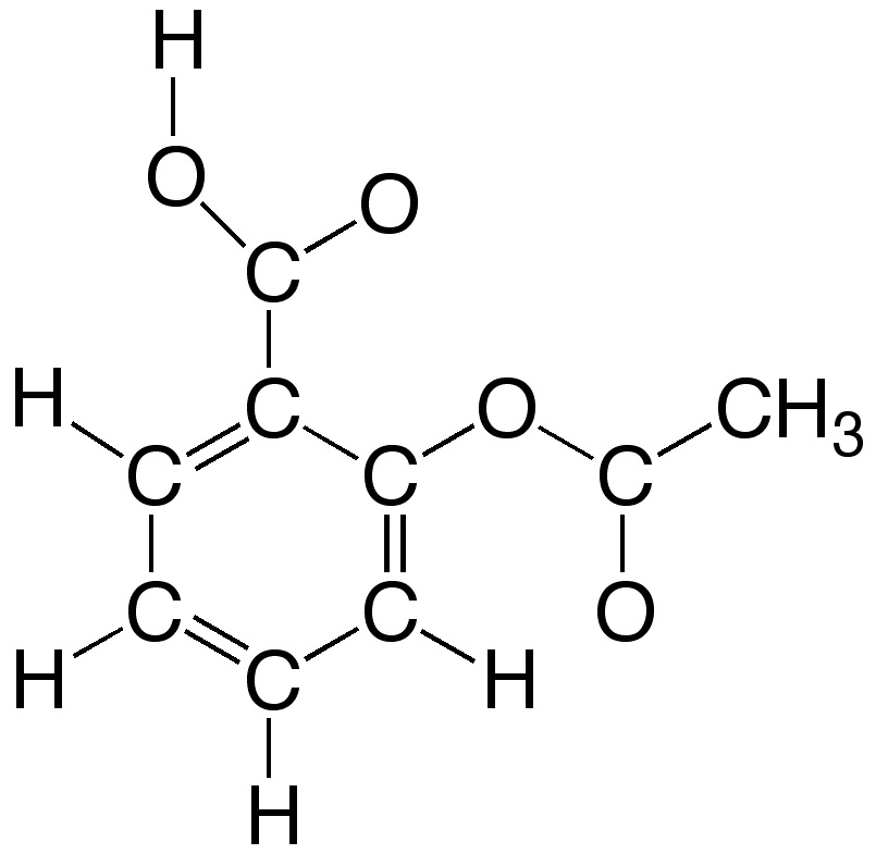
Wrong. Check the C-O bonds.
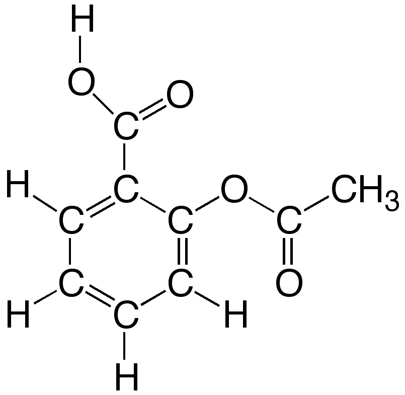
This drawing correctly represents the bonds in the aspirin molecule.
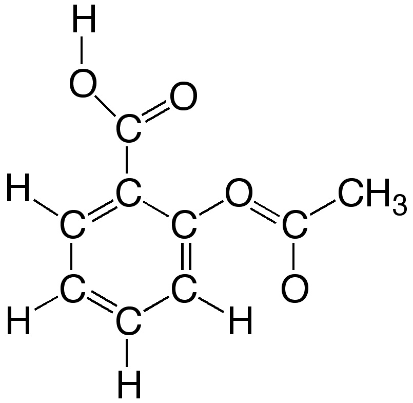
Wrong. Check the C-O bonds.

Read more