2.6.3 Caso particular: Campo transversal

\fbox{\parbox[b]{5cm}{
\begin{eqnarray}
u^\mu &=&W(1,v^x,0,v^z) \nonumber \\
b^\mu &=&(0,0,b,0) \nonumber
\end{eqnarray}}}

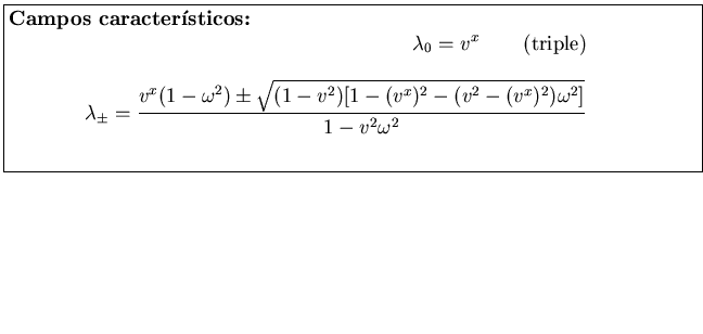
\fbox{\parbox[b]{14cm}{
{\bf Campos caracter\'{\i}sticos:}
\begin{eqnarray*}
\la...
...2)[1-(v^x)^2-(v^2-(v^x)^
2)\omega^2]}}{1-v^2\omega^2}  [2ex]
\end{eqnarray*}}}

\begin{eqnarray*}
\omega^2=c_s^2+c_A^2-c_s^2c_A^2
\end{eqnarray*}