DISTRIBUCIÓN DE
POISSON
ir a script de la distribución de Poisson
Esta distribución es una de las más importantes distribuciones de variable discreta. Sus principales aplicaciones hacen referencia a la modelización de situaciones en las que nos interesa determinar el número de hechos de cierto tipo que se pueden producir en un intervalo de tiempo o de espacio, bajo presupuestos de aleatoriedad y ciertas circunstancias restrictivas. Otro de sus usos frecuentes es la consideración límite de procesos dicotómicos reiterados un gran número de veces si la probabilidad de obtener un éxito es muy pequeña .
Proceso experimental del que se puede hacer derivar
Esta distribución se puede hacer derivar de un proceso experimental de observación en el que tengamos las siguientes características
· Se observa la realización de hechos de cierto tipo durante un cierto periodo de tiempo o a lo largo de un espacio de observación
· Los hechos a observar tienen naturaleza aleatoria ; pueden producirse o no de una manera no determinística.
· La probabilidad de que se produzcan un número x de éxitos en un intervalo de amplitud t no depende del origen del intervalo (Aunque, sí de su amplitud)
· La probabilidad de que ocurra un hecho en un intervalo infinitésimo es prácticamente proporcional a la amplitud del intervalo.
· La probabilidad de que se produzcan 2 o más hechos en un intervalo infinitésimo es un infinitésimo de orden superior a dos.
En consecuencia, en un intervalo infinitésimo podrán producirse O ó 1 hecho pero nunca más de uno
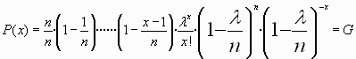
· Si en estas circunstancias
aleatorizamos de forma que la variable aleatoria X signifique o designe el "número
de hechos que se producen en un intervalo de tiempo o de espacio", la
variable X se distribuye con una distribución de parámetro l
. Así :
El parámetro de la distribución es, en principio, el factor de proporcionalidad para la probabilidad de un hecho en un intervalo infinitésimo. Se le suele designar como parámetro de intensidad , aunque más tarde veremos que se corresponde con el número medio de hechos que cabe esperar que se produzcan en un intervalo unitario (media de la distribución); y que también coincide con la varianza de la distribución.
Por otro lado es evidente que se
trata de un modelo discreto y que el campo de variación de la variable será el
conjunto de los número naturales, incluido el cero:
![]()
Función de cuantía
A partir de las hipótesis del proceso, se obtiene una ecuación diferencial de definición del mismo que puede integrarse con facilidad para obtener la función de cuantía de la variable "número de hechos que ocurren en un intervalo unitario de tiempo o espacio "
Que sería :
ir a programa de cálculo
Cuya representación gráfica para un modelo de media 11 sería
la adjunta .
Obsérvense los valores próximos en la media y su forma parecida a la campana de
Gauss , en definitiva , a la
distribución normal
La función de distribución vendrá dada por :
![]()
Función Generatriz de Momentos
Su expresión será :
![]()

dado que
tendremos que
![]()
luego :
![]()
Para la obtención de la media y la varianza aplicaríamos la F.G.M.; derivándola sucesivamente e igualando t a cero .
Así.

Una vez obtenida la media , obtendríamos la varianza en base a :
![]()
![]()
haciendo t = 0
![]()
por lo que
=![]()
así se observa que media y varianza coinciden con el parámetro del modelo siendo , l
En cuanto a la
moda del modelo tendremos que será el valor de la variable que tenga mayor
probabilidad , por tanto si Mo es el valor modal se cumplirá que :
![]()
Y, en particular:
![]()
A partir de estas
dos desigualdades, es muy sencillo probar que
la moda tiene que verificar:
De manera que
la moda será la parte entera del parámetro l o dicho
de otra forma, la parte entera de la media
Podemos observar cómo el intervalo al que debe pertenecer la moda tiene una amplitud de una unidad , de manera que la única posibilidad de que una distribución tenga dos modas será que los extremos de este intervalo sean números naturales, o lo que es lo mismo que el parámetro l sea entero, en cuyo caso las dos modas serán l -1 y l .
Teorema de adición.
La distribución de Poisson verifica el teorema de adición para el parámetro l .
"La variable suma de dos o más variables independientes que tengan una distribución de Poisson de distintos parámetros l (de distintas medias) se distribuirá, también con una distribución de Poisson con parámetro l la suma de los parámetros l (con media, la suma de las medias) :
En efecto:
Sean x e y dos variables aleatorias que se distribuyen con dos distribuciones de Poisson de distintos parámetros siendo además x e y independientes
Así
e
![]()
Debemos probar que la variable Z= x+y seguirá una Poisson con parámetro
igual a la suma de los de ambas:
![]()
En base a las F.G.M para X ![]()
Para Y ![]()
De manera que la función
generatriz de momentos de Z será el producto de ambas ya que son independientes
: ![]()
Siendo
la F.G.M de una Poisson
![]()
Convergencia de la distribución binomial a la Poisson
Se puede probar que la distribución binomial tiende a converger a la distribución de Poisson cuando el parámetro n tiende a infinito y el parámetro p tiende a ser cero, de manera que el producto de n por p sea una cantidad constante. De ocurrir esto la distribución binomial tiende a un modelo de Poisson de parámetro l igual a n por p
Este resultado es importante a la hora del cálculo de
probabilidades , o , incluso a la hora de inferir características de la
distribución binomial cuando el número de pruebas sea muy grande
y la
probabilidad de éxito sea muy pequeña
.
El resultado se prueba , comprobando como la función de cuantía de una
distribución binomial con
y
tiende a una
función de cuantía de una distribución de Poisson con
siempre que este producto sea una cantidad constante ( un valor finito)
En efecto : la función de cuantía de la binomial es
![]()
Y llamamos
tendremos que:


realizando ![]()
que es la función de cuantía de una distribución de Poisson
Estimación Bayesiana sobre muestras de poisson.
Análogamente a como planteábamos el problema de necesitar estimar la proporción de una característica ,en el caso de un modelo binomial , en alguna situación práctica , podemos estar interesados en determinar el parámetro desconocido de una distribución de Poisson. Por ejemplo podríamos estar interesados en determinar el número medio de clientes que acuden a una ventanilla de una oficina pública.
El planteamiento de la estimación podría hacerse utilizando información suministrada por una experiencia {la observación de cuántos hechos se producen en un intervalo experimental),conjuntamente con algún otro tipo de información a priori .En este caso, estaríamos ,como ya comentábamos en el caso binomial ante un planteamiento bayesiano del problema.
La solución requerirá que dispongamos de una información inicial que puede especificarse a través de una distribución a priori de probabilidad. De manera que la función de cuantía de esta distribución a priori (o su f. de densidad si fuera continua) nos asigne probabilidades a cada posible valor del parámetro l .
Utilizando únicamente la información inicial la estimación sería la media de la distribución a priori.
Pero realizando una experiencia podremos mejorar la información acerca de l Si observamos la realización de hechos durante un intervalo experimental y se producen x hechos, para cada posible valor de l podremos calcular su verosimilitud definida como la probabilidad de que se dé ese resultado si el valor de l es el considerado:
![]()
Obviamente esta
probabilidad condicionada será la función de cuantía de una distribución de
Poisson con
.
para el valor de la variable x.
Finalmente podemos calcular las probabilidades de cada valor alternativo de , condicionada al resultado de la experiencia aplicando el teorema de Bayes:

Estas probabilidades finales (a posteriori) constituirán la función de cuantía de la distribución a posteriori que nos dará cuenta de toda la información disponible (tanto muestral como no muestral) .
La estimación mejorada del parámetro será, entonces, la media de la distribución a posteriori.
Planteamos un ejemplo:
Tres ejecutivos del Insalud opinan que el número medio de pacientes que llegan a cierto servicio nocturno de guardia durante una hora es 2 , según el primero, 3 , según el segundo, y 5 según el tercero.
Sus opiniones pueden ponderarse teniendo en cuenta que el primero tiene el doble de experiencia profesional que los otros dos.
Para tomar una decisión de asignación de personal en ese servicio quieren estimar el número medio de pacientes, sin despreciar sus opiniones , por lo que realiza una experiencia controlando una hora de actividad en el servicio en la que acuden 3 pacientes .Esta información la van a combinar con la inicial a través de un proceso Bayesiano :¿cómo lo harían?
La distribución a priori será tal que deberá asignarse el doble de probabilidad a la alternativa propuesta por el primer experto que a las de los otros dos. Así que será:
|
l i |
P(l i) |
|
2 |
0,5 |
|
3 |
0,25 |
|
4 |
0,25 |
De manera que la estimación inicial de sería,la media de la distribución a priori:
![]()
Realizada la experiencia, las verosimilitudes de las tres
alternativas nos vendrán dadas por la función de cuantía de la distribución de
Poisson, con ![]()
|
l i |
|
|
2 |
0,180447 |
|
3 |
0,224042 |
|
5 |
0,140374 |
La función de cuantía de la distribución a posteriori la obtendremos aplicando el Teorema de Bayes y resultará ser:
|
l i |
|
|
2 |
0,497572 |
|
3 |
0,308891 |
|
5 |
0,193536 |
Esta distribución a posteriori nos dará cuenta de toda la información disponible acerca del parámetro desconocido, (número medio de pacientes por hora); tanto de la información subjetiva de los expertos (convenientemente ponderada) como de la información empírica suministrada por la observación.
A partir de esta distribución a posteriori podemos plantear nos dar un valor concreto para la estimación de considerando una función de pérdida cuadrática . La estimación adecuada sería la media de la distribución a posteriori:
pacientes la hora
ir a modelos de probabilidad III
ir a modelos de probabilidad