4.2.1 Muestras independientes
a) Supuestos: Los datos son independientes.
b) Hipótesis:
c) Estadístico de contraste:
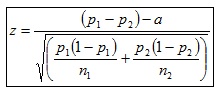
Si a=0:
donde
Si "a" no es igual a 0:
d) Distribución del estadístico de contraste: Si la muestra es pequeña, el estadístico de contraste sigue la distribución Binomial. Si la muestra es grande, la distribución Normal estandarizada.
g) Intervalo de confianza:
Ejemplo
Quieren probar la hipótesis de que la gente dedica más tiempo a la lectura de libros en las regiones del Norte que en las del Sur. Las proporciones de individuos que declaran leer al menos un libro al mes en dos muestras de individuos del Norte y del Sur son, respectivamente, de 0.35 y 0.23 (Los tamaños de las muestras son, respectivamente, 40 y 55, a=0.05).
b) Hipótesis:
c) Estadístico de contraste:
d) Distribución del estadístico de contraste: Aproximadamente Normal dado que np>5 y n(1-p)>5
e) Significación del estadístico de contraste: 0.1
f) Decisión: El estadístico de contraste es inferior a 0.05. En consecuencia se rechaza la Hipótesis Nula.
g) Intervalo de confianza:

Diremos con un nivel de confianza del 95% que la diferencia
de proporciones se halla entre -0.06 y 0.3