4.2.2 Muestras relacionadas


Generalmente queremos saber si la diferencia observada entre muestras de pares de datos dicotómicos (o dicotomizados) es significativa.

b) Hipótesis

c) Estadístico de contraste

Muestras pequeñas:

Muestras grandes:

d) Distribución del estadístico de contraste.

T sigue el modelo Binomial(T;n,0.5) y (n=n12+n21) y aproxima al modelo Ji Cuadrado con 1 gl cuanto mayor sea el tamaño de la muestra.

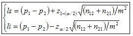
g) Intervalo de confianza.

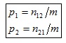
donde

(m= Número total de datos)

 

Ejemplo

Quieren saber si las parejas tienden a hacer las mismas actividades o al contrario, y para ello hacen una investigación en que recogen los siguientes datos:

donde:

Número de pares con valores 1 en X y 2 en Y (n12): 2

Número de pares con valores 2 en X y 1 en Y (n21): 1

b) Hipótesis:

c) Estadístico de contraste:

d) Distribución del estadístico de contraste: Binomial(2;10,0.5)

e) Significación del estadístico de contraste: 0.875

f) Decisión: Se acepta la Hipótesis Nula y concluimos que muy probablemente las parejas tienden a llevar a cabo actividades semejantes (el ejemplo es ficticio).