P3-Relación e/m del electrón
Introducción
El descubrimiento del carácter corpuscular de la carga eléctrica se le asigna al físico inglés J.J. Thomson. Dicho descubrimiento lo realizó en 1897 experimentando con un tubo de vacío semejante a los actuales tubos de un televisor. Dentro del tubo, conteniendo una pequeña cantidad de gas, colocó dos láminas metálicas situadas una frente a la otra (cátodo y ánodo) y aplicó una tensión eléctrica entre ellas. Thomson comprobó que del cátodo salían unos rayos a gran velocidad (rayos catódicos), que atravesaban el ánodo (si en éste se practicaba un agujero) y que producían un pequeño destello al llegar a una pantalla fluorescente. Sometiendo los rayos a campos eléctricos y magnéticos comprobó que se comportaban de la misma manera independientemente del gas que se colocase en el tubo, y demostró que estaban formados por partículas cargadas, a las que bautizó con el nombre de electrones, pudiendo determinar su relación carga-masa. El valor actualmente aceptado para esta relación es |e|/m = 1.7598 · 10+11(C/kg)
Más tarde, en 1911, el físico norteamericano R. A. Millikan consiguió también medir la carga del electrón mediante su experimento de "la gota de aceite". El valor actualmente aceptado para el módulo de la carga (negativa) del electrón es |e| = 1,602 · 10-19 C.
DETERMINACIÓN DE LA RELACIÓN e/m CON UN TUBO DE RAYOS CATÓDICOS.
Movimiento de un electrón en un campo eléctrico.
En su paso a través de un campo eléctrico de intensidad E, el electrón de carga es acelerado. En nuestro dispositivo experimental el campo eléctrico se genera al aplicar una diferencia de potencial U entre dos electrodos que se encuentran en el interior de un cañón (de electrones). Así el electrón llega a adquirir una energía cinética proporcional a dicho voltaje (voltaje de aceleración):
T=|e|·U (1)
De esta energía se puede deducir la velocidad del electrón. Si el movimiento es no relativista, hecho que asumiremos, la energía cinética viene dada por la siguiente expresión:
 (2)
siendo m la masa en reposo del electrón y v su velocidad. De las ecuaciones (1) y (2) se puede determinar la velocidad en función del potencial de aceleración:
 (3)
Movimiento de un electrón en un campo magnético.
Cuando un electrón de carga -|e| se mueve con una velocidad en un campo magnético de intensidad experimenta una fuerza de Lorentz, que en el sistema internacional de unidades se expresa como:
 (4)
Esta fuerza tiene una dirección perpendicular al plano que forman y y de manera que curva la trayectoria del electrón. Si es el elemento diferencial de longitud a lo largo de la trayectoria, entonces tenemos:
 (5)
lo que significa que el electrón no gana energía cinética del campo magnético. El campo sólo cambia la dirección del movimiento del electrón y el valor absoluto de su velocidad permanece constante.
Si el campo magnético es estático y uniforme, como es el creado por el par de bobinas Helmhotlz que posee nuestro dispositivo experimental, entonces el electrón se mueve en una órbita circular alrededor de las líneas de campo
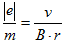
La fuerza de Lorentz que apunta al centro de este círculo es la fuerza centrípeta:
 (6)
podemos despejar la carga específica, o relación carga masa, del electrón:
 (7)
Sustituyendo v , dado por la ecuación (3), se llega a:
 (8)
Cálculo del campo magnético en el eje del par de bobinas de Helmholtz.
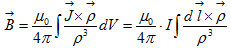
Campo creado por una corriente eléctrica-.
Un sistema de cargas que efectúa un movimiento estacionario, es decir un flujo continuo de corriente eléctrica, genera un campo magnético cuyo valor medio en un punto de observación depende de las coordenadas de dicho punto pero no del tiempo.
Introduciendo el potencial vector tal que
 (9)
y promediando temporalmente la ecuación de Maxwell del campo magnético se obtiene el potencial vector promedio
 (10)
donde µ0 es la permeabilidad magnética en el vacío, la densidad de corriente eléctrica y ρ es la distancia desde el punto de observación hasta el elemento de volumen de corriente dV.
Sustituyendo (10) en (9) se obtiene el campo magnético. Teniendo en cuenta que el operador rotacional en (9) refiere a las coordenadas del punto de observación se puede permutar con el signo de integración en (10) y tratar como una constante en la derivación tal que:
 (11)
donde es el vector, de módulo ρ, desde el punto de observación al elemento de volumen dV. El campo magnético es entonces:
 (12)
donde en la última expresión se ha introducido , el elemento diferencial de longitud de corriente, e I, la intensidad de corriente, que se relaciona con la densidad de corriente mediante
 (13)
siendo S la superficie transversal de corriente.
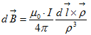
Campo creado por una bobina-.
Sea una bobina con N espiras tal que por cada una de ellas circula una corriente I. El campo magnético creado por un elemento de longitud de corriente de una espira en un punto de observación viene dado por:
 (14)
siendo un vector desde el punto de observación hasta el elemento de la espira.
A lo largo del eje de la espira, que consideraremos como eje Z, la suma de los campos y ( y en general) creados por dos elementos diagonalmente opuestos y ( y en general), sólo tiene componente z:
 (15)
con dB1z , por ejemplo, dado por
 (16)
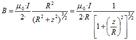
siendo R el radio de la espira.
Ya que sobre el eje de la espira se cumple que el módulo del campo magnético creado por cualquier elemento de corriente de la espira en el punto de observación es
 (17)
Integrando para todos los puntos obtenemos:
 (18)
Finalmente, utilizando , el módulo del campo creado por una espira a lo largo del eje Z vale:
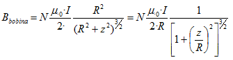
 (19)
Para una bobina se ha de multiplicar por el número de espiras N por el campo creado por cada una de ellas resultando:
 (20)
Campo creado por dos bobinas-.
El campo magnético creado por dos bobinas (ambas con N espiras) separadas una distancia a lo largo del eje de las mismas y con corrientes circulando en el sentido que indica la figura es, a partir de (20) :
 (21)
Se puede estudiar cómo varía el campo a lo largo del eje Z para diferentes valores de la separación, a, entre las bobinas. Para valores típicos de I y R en el par de bobinas de Helmholtz:
Se observa que si a = R, el campo es uniforme en el eje de las bobinas en un intervalo de valores de z: [-80mm, 80mm]. De hecho ésta es la peculiaridad de las bobinas de Helmholtz. Su valor es:
 (22)
Determinación de la relación carga-masa del electrón.
Combinando las ecuaciones (8) y (22) se llega a:
 (23)
Utilizando:
se obtiene:
 (24)
en C/kg, siendo U la diferencia de potencial aplicada al electrón, r el radio de curvatura de la trayectoria del electrón e I la intensidad de corriente que circula por las bobinas.
Objetivos
Determinar la relación carga/masa (e/m) del electrón a partir de las medidas del radio de curvatura de la trayectoria de un haz de electrones acelerados mediante una diferencia de potencial conocida, en el seno de un campo magnético cuya intensidad podemos determinar.
|