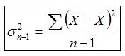
3.4 Cuasivarianza


La Cuasivarianza se define:

Es semejante a la Varianza, excepto que la división es por n-1 (tamaño de la muestra) y no por N (tamaño del grupo de datos). Este estadístico es apropiado para obtener estimaciones de la Varianza de la población en el análisis inferencial de datos

Principales características

Varianza: NO se expresa en la escala original de la variable.

Desviación Típica: Muy sensible a las puntuaciones extremas.

Varianza y Desviación Típica:

a) Tienen como valor mínimo el 0, y no tienen máximo.

b) Si se suma una constante a las puntuaciones, no alteran su valor: