5.1 Ji Cuadrado


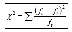
El índice "Chi (Ji) Cuadrado" se define:

donde

fe: Frecuencia empírica.

ft: Frecuencia teórica.

El índice Ji Cuadrado se basa en la comparación de las frecuencias bivariadas obtenidas a partir de los datos (frecuencias empíricas) con las frecuencias que resultarían si NO hubiere relación de asociación entre las variables (frecuencias teóricas).

Las frecuencias teóricas pueden ser obtenidas a partir de un razonamiento sencillo: Si no hubiere asociación entre X e Y, cada una de las modalidades de cada variable estaría emparejada con cada una de las modalidades del otra variable. Si no hay emparejamiento significa que hay asociación entre las variables.

El cálculo consiste en:

a) Sumar cada fila y cada columna, obteniendo las renombradas distribuciones marginales (que son las de cada variable por separado).

b) Para cada casilla del interior de la Tabla, obtener el producto de la casilla de su marginal fila por la casilla de su marginal columna y dividir por N (número de casos).

Ejemplo

A continuación se aplica la fórmula obteniendo para cada casilla del cuerpo central de la Tabla el cuadrado de la diferencia entre la frecuencia empírica y la teórica, dividiéndolo por la frecuencia teórica. La suma total es el valor del estadístico Ji Cuadrado:

 

Principales características

a) El índice Ji Cuadrado tiene valor mínimo 0, que indica NO asociación entre las variables.

b) No hay máximo, por lo que no se puede hacer comparaciones entre diferentes variables.