3.2 Diferencia de medias relacionadas


a) Supuestos:

Los mismos que en el contraste de muestras independientes, excepto que los datos de los dos grupos se supone están relacionados.

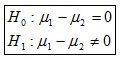
b) Hipótesis.

c) Estadístico de contraste:

donde

Xi1 y Xi2 son las puntuaciones obtenidas por los estudiantes a cada grupo.

d) Distribución del estadístico de contraste: t con n-1 grados de libertad.

g) Intervalo de confianza:

 

Ejemplo

Quieren comparar los resultados a los exámenes de Junio y Febrero de un grupo de Análisis de Datos. La Media de las diferencias entre las puntuaciones de Junio y Febrero es igual a -0.7. ¿Podemos decir que el examen de Junio es significativamente más difícil que el de Febrero?


(Nota: Grupo 1 se refiere a los datos de Junio. Grupo 2 se refiere a los datos de Febrero)

a) Supuestos:

Dado que las dos muestras de puntuaciones (Febrero y Junio) han sido recogidas de los mismos estudiantes, se considera NO son independientes (entre grupos).

b) Hipótesis.

c) Estadístico de contraste:

d) Distribución del estadístico de contraste: t con 80 grados de libertad.

e) Significación del estadístico de contraste: 0.0

f) Decisión: La significación del estadístico de contraste es inferior a 0.01, y por ello se rechaza la Hipótesis Nula.

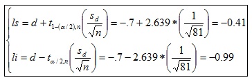
g) Intervalo de confianza:

La verdadera diferencia entre las Medias de los exámenes va de -0.41 a -0.99 (con un nivel de confianza del 99%).

Conclusión: Los datos respaldan (con un nivel de confianza del 1%) la hipótesis de que las puntuaciones del examen de Junio son significativamente inferiores a las de Febrero.