3.3 Razón de varianzas


a) Supuestos:

Las poblaciones siguen la distribución Normal.

Los datos son independientes.

b) Hipótesis:

c) Estadístico de contraste:

d) Distribución del estadístico de contraste: F con n1-1 y n2-1 grados de libertad.

e) Significación del estadístico de contraste


Ejemplo

Quieren someter a contraste la hipótesis de igualdad de las Varianzas de las puntuaciones obtenidas por dos grupos de individuos en una prueba de extraversión.


a) Supuestos: Dado que las muestras han sido generadas aleatoriamente, se supone que los datos son independiente.

b) Hipótesis:

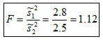
c) Estadístico de contraste:

d) Distribución del estadístico de contraste: F con 31-1 y 41-1 grados de libertad.

e) Significación del estadístico de contraste: 0.63

f) Decisión: La significación del estadístico de contraste es superior a 0.01, y en consecuencia se acepta la Hipótesis Nula.