5.3 Regresión

5.3 Inferencia respecto de coeficientes de regresión

Inferencia respecto de beta

a) Supuestos:

La población sigue la distribución Normal.

Los datos son independientes.

Sigma es desconocida.

b) Hipótesis:

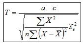
c) Estadístico de contraste:

donde

d) Distribución del estadístico de contraste: tn-2.

e) Significación del estadístico de contraste.

g) Intervalo de confianza:

 

Inferencia respecto de alfa

a) Supuestos:

La población sigue la distribución Normal.

Los datos son independientes.

Sigma es desconocida.

b) Hipótesis:

c) Estadístico de contraste:

donde

d) Distribución del estadístico de contraste: tn-2

e) Significación del estadístico de contraste.

g) Intervalo de confianza:

donde