En la práctica que acaba de realizar, basándose en la ley de Stefan-Boltzman y en la ley de Planck para la radiación de un cuerpo negro ha podido determinar el valor de la constante de Planck h a partir de medidas de voltajes e intensidades en el dispositivo experimental mostrado. La precisión en la determinación de h es, como habrá comprobado, de dos cifras significativas, lo que teniendo en cuenta el material utilizado da cuenta de la bondad de las hipótesis realizadas. Ésta es precisamente la cualidad principal de esta práctica: mediante medidas muy sencillas de magnitudes del mundo "macroscópico" realizadas mediante instrumentos no especialmente precisos ni específicos, hemos sido capaces de determinar el valor de una magnitud fundamental de la física cuántica con dos cifras significativas.
Intente resolver las cuestiones que a continuación se plantean si desea hora a ampliar y profundizar en alguno de los aspectos estudiados en la práctica.
1) El éxito del modelo de Planck, que cuantificaba la energía en fotones, radicó, en un inicio, en que explicaba correctamente el espectro de cuerpo negro, reproduciendo las leyes de Wien, Stefan-Boltzmann y Rayleigh-Jeans. Partiendo de la distribución de Planck, obtenga la ley de Wien y reproduzca el límite de Rayleigh-Jeans a bajas frecuencias.
La longitud de onda a la que será máxima la radiancia espectral será aquella que maximice la distribución así:

Llegamos a una ecuación trascendente de la forma:
(5 – x)ex – 5 = 0
definiendo
. Esta ecuación se puede resolver mediante métodos numéricos, llegando a:
reproduciendo la ley de Wien.
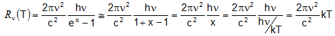
Por otro lado, como la ley de Rayleigh-Jeans reproduce el espectro de cuerpo negro a bajas frecuencias, la distribución de Planck debe convertirse en la de Rayleigh-Jeans a bajas frecuencias:
con
, que, a bajas frecuencias, tomaremos
, de manera que:

obteniendo así la ley de Rayleigh-Jeans . Es interesante destacar que en el límite de bajas frecuencias, la constante de Planck no aparece, por lo que, aparentemente, el fenómeno no es cuántico.
2) Dando por buena la relación, obtenga el valor de la constante de Planck a partir de la de
Stefan-Boltzmann y del valor de las constantes fundamentales c y k.
A partir de
:

3) A partir de la distribución de Planck para la frecuencia, obtenga la equivalente para la longitud de onda. Para ello necesitará partir de que
; ¿qué indica esta relación?
La relación
indica que la radiancia emitida en un intervalo diferencial debe ser la misma expresada en frecuencias o en longitudes de onda, como cabe intuir de la misma definición de radiancia y radiancia espectral.
Partiendo de esta relación:

Llegamos a la expresión que buscábamos, para lo que hemos utilizado que:
Obviamente, los resultados son perfectamente consistentes con los esperados en cuanto a órdenes de magnitud, e incluso puede haber obtenido una buena precisión. Con todo, hemos de tener en cuenta todas las simplificaciones que hemos hecho, y los obstáculos que hemos salvado, que nos podrían haber conducido a error, pero que nos han permitido obtener un resultado gratamente satisfactorio para la simplicidad del experimento. Las siguientes cuestiones van encaminadas a tratar de analizar la bondad de las hipótesis y simplificaciones que hemos considerado.
4) Entre las suposiciones que hemos formulado, hemos dicho que suponemos que estamos en la "región cuántica", obteniendo así la expresión en la que hemos basado la segunda parte del desarrollo experimental. Para comprobar la validez de esta hipótesis, determine el rango de temperaturas (a partir de las resistencias) en que ha trabajado la lámpara.
Calcule
y compruebe si la suposición hecha es correcta.
Veamos el rango de temperaturas. En la Tabla 1 del apartado "desarrollo", podemos observar los valores correspondientes a la mínima y la máxima resistencia medida en el experimento; así:

Se pede comprobar que
De hecho, es esta la razón de que el experimento ofrezca unos resultados tan buenos pese a su simplicidad: la disminución exponencial es un efecto puramente cuántico que ocurre a altas frecuencias y que es bastante independiente de lo que pueda pasar a más bajas energías –que puede tener una mayor dependencia de las características del filamento.
5) Si el ajuste de la variación de la temperatura del filamento con su resistencia es adecuado, éste debería ser independiente del valor T0 utilizado. Pruebe a realizar el cálculo de la constante de Planck h utilizando ahora el valor de T0 nominal (dado por el fabricante), aproximadamente 2900oK, para la potencia nominal de la bombilla (esto es a 230V). El valor de la resistencia R lo puede obtener a partir de los valores de V e I medidos para el valor más elevado del voltaje (230V) de la bombilla.
6) Un resultado interesante, que no hemos comentado, es que a partir del ajuste que se realiza en la primera parte del experimento, podemos obtener el valor de la superficie total del filamento, suponiendo que éste es un cuerpo negro ideal. Pruebe a calcularlo. Por otro lado, puede medir la longitud total del filamento y, suponiendo que el filamento es un cilindro de diámetro de 1 mm (puede ser inferior, pero tomaremos el radio del orden de 0,5 mm), calcule cuál es su superficie.
Puede comprobar que la superficie estimada mediante la medida es superior a la obtenida por el ajuste.
¿Qué indica esto sobre la hipótesis que hemos realizado?
¿El comportamiento observado del filamento de la bombilla se aproxima al de un cuerpo negro?
A partir del ajuste realizado en la Gráfica 1 y de la ecuación:

N es la ordenada en el origen de la recta que ajusta la Figura 5. Sustituyendo los valores obtenidos:

Por otro lado, podemos estimar la superficie tomando una longitud (medida con la regla) de 3 cm (tal vez más) y un radio de unos 0,05 cm, llegamos a:
Smedida = 2πrL ∼ 6 · 0,05 ·3 ∼ 0,9cm2 ∼ 1cm2
Vemos que la superficie medida es superior a la obtenida del ajuste, prácticamente en un orden de magnitud. Esto puede ser consecuencia que en el desarrollo, hemos partido de la hipótesis de cuerpo negro para el filamento, pero en realidad es un cuerpo real, un "cuerpo gris". Un cuerpo gris puede modelizarse como un cuerpo que irradia según una ley de Stefan-Boltzmann modificada (comparar con R(T)=σT4):
R(T)=εσT4
con ε < 1 la "emisividad" del cuerpo gris (esta relación viene a decir que el "cuerpo gris" irradia menos que el "cuerpo negro"). Con ello, la potencia total sería (comparar con P = SσT4):
P = εSσT4
de manera que lo que en realidad hemos obtenido del ajuste es, grosso modo, una "superficie eficaz" S' = εS < S. He aquí una muestra más de los límites del modelo de cuerpo negro aplicado a la radiación del filamento incandescente.
A modo de conclusión, podríamos decir que el modelo de cuerpo negro aplicado a un filamento incandescente no es del todo bueno (en realidad es un cuerpo real, "cuerpo gris", como muestra la cuestión 5.), pero que, junto con otras simplificaciones, permite vislumbrar las características cuánticas del proceso de radiación.
El modelo desarrollado es bueno, como podemos observar en los coeficientes de regresión, R2, de las rectas de los ajustes realizados, y en el valor de la constante de Planck sorprendentemente cercano al real obtenido. Todo indica, pues, que en efecto el modelo es aceptable y la radiación de un filamento es un fenómeno macroscópico que hay que estudiar a la luz de la teoría cuántica.




