2.4 Media aritmética


Definición y cálculo

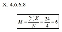
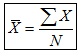
La Media (en símbolo M) es el cociente entre la suma de los datos y el número de datos.

Ejemplo:

En el estudio de Intraversión, las medias son:

Las medias son muy semejantes, lo cual indica que los grupos ocupan la misma posición (casi), y hay poca diferencia en la tendencia central de los grupos comparados.

Principales características

a) Tiene en cuenta todas las puntuaciones (el numerador de la fórmula es la suma de todas las puntuaciones).

b) Es sensible a las puntuaciones extremas, y en esos casos NO representa adecuadamente el grupo (excepto cuando las puntuaciones se sitúan en ambos extremos y tienen la misma magnitud). Ejemplo:

En el grupo A la mayor parte de los datos tienen valores en torno al 5, pero en el grupo B los datos no están agrupados en torno al 84.2