4.4. Índex interquartílic

L'índex interquartílic permet disposar d'una mesura de asimetria que sí que té màxim i mínim, i es defineix a partir de la relació entre els quartils 1, 2 i 3 (són les puntuacions que deixen per baix el 25, 50 i 75% de les dades de la distribució), la distància entre els quals és major com major siga la intensitat de la asimetria.

A la gràfica del grup B han estat introduïdes línies verticals que assenyalen la posició dels tres cuartils. Veïem que el quartil 3 "s'en và" cap a l'extrem dret com a conseqüència de la asimetria de les dades:

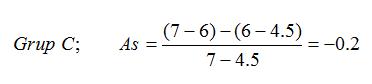
Índex d'asimetria interquartílic:

L'índex interquartílic té un valor mínim de -1 (asimetria negativa) i un valor máxim de 1 (asimetria positiva). El 0 indica que la distribució és simètrica.

 

Exemple