4.1 Prueba F


El análisis de Varianza contrasta la hipótesis de igualdad de las Medias de más de dos grupos, y tiene su fundamento en la relación entre la variación explicada por las diferencias entre grupos y la variación individual.

Consideremos la siguiente situación: Queremos comparar la efectividad de cuatro tratamientos de la depresión, para lo que aplicamos los tratamientos a cuatro grupos de pacientes seleccionados aleatoriamente. A finales del tratamiento recogemos los datos, que son:


Los valores del cuerpo central de la tabla representan las puntuaciones obtenidas por el sujeto "i" en el grupo "j". Por ejemplo, X32=14 simboliza que el sujeto número tres del grupo 2 ha obtenido una puntuación igual a 14.

Las puntuaciones de cada grupo son una muestra de la población de pacientes a los que se administra cada tratamiento (los del grupo 1, de la población a la que se administra el tratamiento 1, los del grupo 2, de la población a la que se administra el tratamiento 2, etc.). Las Medias de las poblaciones se simbolizan m1, m2, m3, etc. Queremos saber si estas Medias son semejantes o diferentes a la finalización del tratamiento, porque eso significaría que los tratamientos afectan de manera diferente a los pacientes. La Hipótesis Nula es:

El estadístico de contraste es:

donde MCE y MCI son las Medias Cuadráticas "entre" e "intra" respectivamente.

El fundamento del estadístico de contraste es:

a) El efecto del tratamiento en cada grupo es medido por la Media de las medidas de depresión de cada grupo.

b) Si todos los tratamientos tuvieran el mismo efecto, esperaríamos que las Medias de los grupos fueran semejantes:

En cambio, cuanto más diferentes sean los efectos de los tratamientos, más diferentes esperamos que sean las Medias.

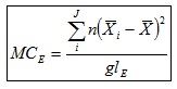
c) La Media Cuadrática "entre" mide la variación explicada por las diferencias entre las Medias de los grupos más la variación explicada por diferencias individuales:

donde

si las Medias fueran semejantes, la Media Cuadrática "entre" sería igual a 0 (porque la Media de cada grupo sería igual a la Media total). Si las Medias fueran diferentes, la Media Cuadrática "entre" será mayor cuanto más y mayores sean las diferencias.

d) La variación individual es medida por la Media Cuadrática "intra":

donde

glI: grados de libertad "intra"= J(n-1).

La Media Cuadrática "intra" mide la variación explicada por diferencias individuales porque solo depende de las diferencias dentro de cada grupo. En cambio, las diferencias entre grupos no explican la variación "intra".

e) El estadístico F pone en relación la variación "entre" respeto de la variación "intra":

cuanto mayor es la variación "entre" en relación a la variación "intra", mayor es el valor de F.

f) Para generalizar a la población se opera con los valores esperados de la Medias Cuadráticas:

el valor esperado de la Media Cuadrática "entre" es igual a la Varianza explicada (ocasionada) por las diferencias individuales más una cantidad cuyo valor depende de las diferencias entre los tratamientos (entre las muestras).

El valor esperado de la Media Cuadrática "intra" es igual a la Varianza explicada por diferencias individuales.

g) Si la Hipótesis Nula fuera verdadera, es decir, si NO hubiera diferencias entre las Medias poblacionales, el valor del término de la derecha en la expresión del valor esperado de la Media Cuadrática "entre", que es:

tomaría el valor 0 (porque las diferencias dentro del paréntesis siempre serían 0).

En consecuencia, el estadístico F sería una razón de dos estimadores de la misma Varianza y seguiría la distribución F con J-1 y J(n-1) grados de libertad.

h) Si la Hipótesis Nula fuera falsa, es a decir, si hubiera diferencias entre las Medias poblacionales, la expresión

tomaría un valor superior a 0. En consecuencia, el estadístico F NO sería una razón de dos estimadores de la misma Varianza y el cociente F NO seguiría la distribución FJ-1,J(n-1).

i) En conclusión, si el estadístico F sigue la distribución FJ-1,J(n-1) pensaremos que no hay evidencia suficiente por rechazar la Hipótesis Nula. En cambio, si el estadístico F NO sigue la distribución FJ-1,J(n-1), pensaremos que es más razonable rechazar la Hipótesis Nula.