|
P2-Radiación de un filamento incandescente
Introducción
El Cuerpo Negro y la “catástrofe ultravioleta”.
La radiación emitida por un cuerpo como resultado de su temperatura se le llama radiación térmica; todos los cuerpos la emiten y a su vez la absorben.
Un cuerpo negro es un objeto que absorbe toda la luz que incide sobre él: ninguna parte de la radiación es reflejada o pasa a través del cuerpo negro. El cuerpo negro emite luz (denominada radiación de cuerpo negro) y constituye un modelo ideal físico para el estudio de la emisión de radiación electromagnética. Pese a ser un modelo ideal, numerosos objetos en la naturaleza pueden aproximarse a cuerpos negros (estrellas, objetos incandescentes, la radiación de fondo del Universo, agujeros negros…).
La radiación del cuerpo negro fue objeto de intenso estudio durante la segunda mitad del siglo XIX, dando lugar a numerosas leyes experimentales, como las leyes de
Kirchhoff, la ley del desplazamiento de
Wien
o la conocida ley de
Stefan-Boltzmann
para la radiancia, R(T) –la radiancia es la potencia que emite el cuerpo por unidad de superficie, dada por:
R(T)=σT4 (1)
con σ la constante (empírica) de Stefan-Boltzmann (σ=5,67·10-8 W K-4 m-2 ).
A estas leyes empíricas se unía el conocido espectro de cuerpo negro, caracterizado por la radiancia espectral, tal que
es la radiancia emitida en el intervalo de frecuencias entre , y, portanto, , y que, experimentalmente, se observa que es de la forma: Figura 1. Espectro de cuerpo negro.
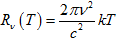
El principal empeño de los físicos de la época era dar una explicación teórica a la forma del espectro del cuerpo negro. A mediados de 1900, Rayleigh presentó un cálculo clásico para la radiancia de un cuerpo negro. Éste se basaba en considerar la radiación producida por la vibración térmica de los electrones dentro de la cavidad y aplicar la ley de equipartición de la energía. El resultado al que llegó fue . Este cálculo no reproducía completamente el espectro del cuerpo negro. De hecho, la teoría clásica de Rayleigh coincidía con los resultados experimentales a bajas frecuencias, pero discrepaba enormemente a frecuencias altas; por ello se habló de la “catástrofe ultravioleta”. Posteriormente, en 1905, Jeans estableció la expresión conocida como ley de Rayleigh-Jeans:
 (2) Clásicamente, el espectro del cuerpo negro no tenía explicación teórica.
La solución de Planck: el fotón.
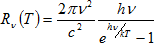
A finales de 1900, y en conocimiento de los resultados de Rayleigh, entre muchos otros, Planck dio una teoría que ajustaba a la perfección con los resultados experimentales. Esta teoría se basaba en considerar los osciladores térmicos anteriores, pero imponiendo que la energía de cada oscilador es múltiplo de una energía fundamental, a la que denominó “cuanto” de energía, ε, y que debía ser proporcional a la frecuencia, postulando así:
ε=h  (3) Con esta idea, Planck llegó a una expresión de la radiancia del cuerpo negro que ajustaba completamente a los resultados experimentales; ésta fue:
 (4) La distribución de Planck (4) no sólo ajustaba los resultados experimentales, sino que reproducía, como debía ser, la ley de Wien, la de Stefan-Boltzmann (1), y la de Rayleigh-Jeans a bajas frecuencias, tomando el valor h=6,63·10-34 J·s y k=1,40·10-23 J·K-1 ; de hecho, la ley de Stefan-Boltzmann se puede reescribir:
 (1') Con la introducción del concepto de “fotón” y la cuantificación de la energía se inició lo que sería posteriormente la “Revolución Cuántica”.
Objetivos
Los objetivos que se proponen en esta práctica son:
1. Estudiar la radiación emitida por un cuerpo incandescente. Radiación térmica.
2. Comprobar la hipótesis de cuerpo negro para un cuerpo real como es una bombilla.
3. Conectar el mundo macroscópico (bombilla) con el mundo microscópico para verificar las predicciones de la Mecánica Cuántica.
|