Yoyó pequeño, yoyó gigante, ambos de madera.
El yoyó es un juego por el que un objeto con un hilo enrollado en su parte central se deja caer. Sin embargo, se aprecia claramente que desciende a velocidades mucho menores de las que tendría si descendiera con caída libre, sometido a la aceleración de la gravedad.
En primer lugar, podemos observar que el centro de masas del yoyó acelera en su descenso. Pero, además, el objeto gira alrededor del centro de masas mientras desciende, con una aceleración angular. Se alcanza la máxima velocidad lineal del CM y de giro en el punto más bajo. Cuando sube de nuevo, decelera progresivamente hasta pararse en un punto inferior al de partida.
Aplicando las ecuaciones dinámicas de traslación (Fuerza neta igual a masa del CM por su aceleración): 𝑚𝑔−𝑇=m·a
y de rotación (momento de Fuerzas externo neto igual a momento de inercia por aceleración angular). El único momento no nulo es el de la tensión
![]()
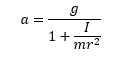
sumando ambas ecuaciones se obtiene que la aceleración solo depende del momento de inercia del sólido, ni de su masa

Si el yoyó fuera un cilindro de radio r (el mismo radio donde se enrolla el hilo), , luego

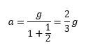
Nuestro yoyó de masa m está formado por dos discos de radio R unidos por un cilindrito de radio r de masa despreciable, luego y:

En el caso de que R=6r











