Cinta de celo Scotch-Magic ® verde, Rotulador indeleble o bolígrafo, globo
Las cintas se pueden volver a pegar varias veces sobre la base para repetir 2-4.
- Preparación: Pega dos tiras de celo de unos 30 cm cada una, paralelas, sobre la mesa. Éstas serán las bases. Pega encima de cada una de ellas otra cinta de longitud similar, doblando un poco el extremo para poderla despegar después fácilmente. Repite la operación con una tercera. Raya con un bolígrafo o rotulador indeleble esta última capa, para distinguirla de la que hay debajo.
- Repulsión: Ahora se despega solo la cinta superior de cada tira (rayada), una con cada mano, sin acercarlas entre sí. Cuando las tengas en la mano (penden verticalmente) las acercas un poco sin que se toquen. Se ve cómo se repelen. Hay que recordar que ambas cintas (rayadas) estaban encima y se han arrancado igual. Por lo que se puede concluir que han adquirido la misma carga.
- Atracción: Pega de nuevo las cintas en su sitio y ahora despega juntas dos cintas superiores, dejando solo la base de una de las tiras. Descárgala pasando la mano varias veces sobre la cinta (a través de la mano se transmite la carga al suelo y otros cuerpos por lo que la cinta vuelve a ser neutra). Despega lentamente entre sí las dos cintas (la que estaba arriba –rayada– y la de debajo, no-rayada). ¿Qué sucede? Acércalas un poco más. Vemos que se atraen entre sí. Las dos cintas no se arrancaron igual: una estaba debajo (no-rayada) y la otra encima (rayada). Se puede concluir que han adquirido cargas diferentes.
- Todas las combinaciones: Si hay dos personas esto se puede hacer de la siguiente forma: Cada persona hace (4) y tiene dos cintas diferentes, una en cada mano. Y las acerca a las dos que tiene la otra persona, en todas las combinaciones posibles: la rayada con la rayada, las no-rayada con la no-rayada, y la rayada con la no-rayada. ¿qué sucede?
Las dos cintas que se arrancan de igual forma se repelen (las rayadas entre sí o las no-rayadas, entre sí). Las dos cintas que se arrancan de forma diferente se atraen (rayada con no-rayada y viceversa).
- La carga de las cintas: Tienes un bolígrafo de plástico (o un globo hinchado). Frótalo con un paño de algodón (el globo sobre el pelo) para que adquiera carga eléctrica. Sabemos que esta carga es negativa. Deduce qué tipo de carga tienen las cintas adhesivas rayada y no-rayada acercándolas al globo o el bolígrafo.
- La carga de tu mano: Acerca tu mano a la cinta rayada (positiva). ¿Qué sucede? ¿se atrae o se repele? Si hay atracción significa que la carga de la mano deberá ser negativa. ¿Qué pasará entonces cuando acerquemos la mano a la cinta no-rayada negativa? suponemos que debería suceder lo contrario, la repulsión. ¿es así? Parece que vuelve a verificarse una atracción ¿Cómo lo explicas? ¿significa esto que existe un tercer tipo de carga diferente a las que llamamos positiva y la negativa? El punto 7 se puede explicar considerando que el cuerpo humano (nuestra mano) se puede pensar como materia eléctricamente neutra (agua en un 70%) pero con cargas que se orientan en presencia de un campo eléctrico próximo.
Se puede aplicar un modelo de conductor o bien de dieléctrico formado por dipolos, para explicar cómo al acercar a la mano una carga positiva, las cargas negativas de nuestra mano se orientarán hacia las positivas y se producirá atracción. Y lo mismo sucederá cuando la carga que acercamos es negativa: las cargas de nuestra mano se orientarán con las positivas más cerca de la negativa externa y habrá, de nuevo, atracción.
Cuando hay dos cuerpos involucrados, la atracción no es necesariamente una prueba de que ambos están cargados con cargas opuestas.
- Electroscopio de cintas: Las cintas positiva y negativa cargadas se pueden pegar en un soporte aislante como el respaldo de una silla, una pajita de refresco sujeta por un trozo de plastilina, un trozo de poliestireno, etc. y utilizarse para verificar la carga que adquieren otros objetos al cargarlos por fricción.

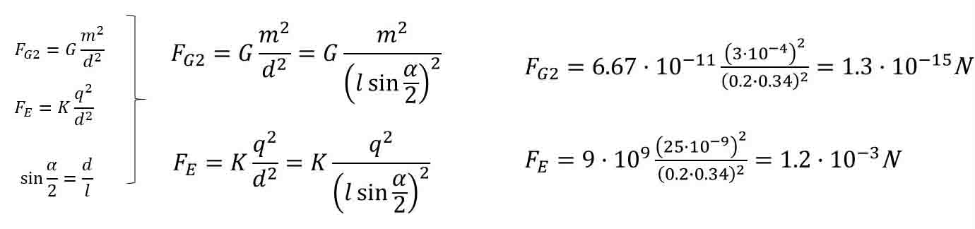
- Cuantificación: estimación de la carga de las cintas aplicando la segunda ley de Newton, y usando una foto de las cintas en repulsión para conocer con mayor precisión el ángulo. Aquí abajo aparecen la estimación de los datos numéricos y los cálculos, que están basados en [1].

- Comparación de la fuerza eléctrica y gravitatoria: La fuerza electrostática entre las cintas, una vez conocida la carga, resulta ser 1012 órdenes de magnitud mayor que la fuerza gravitatoria entre ellas.

- Chantal Ferrer Roca y Ana Cros Stötter, “La Física en el bolsillo: experimentos sencillos de Física”, ALAMBIQUE. Didáctica de las Ciencias Experimentales. Número 39. Enero 2004. ( )
- ARONS, A. B. (1990): A Guide to Introductory Physics Teaching. John Wiley & Sons.
- ARONS, A. B. (1997) Teaching Introductory Physics. John Wiley & Sons. (pag 170-174)
- CHABAY, R. W., SHERWOOD, B. A. (1995): Electric and Magnetic Interactions. John Wiley & Sons [1] Eur. J. Phys. 35 (2014) 055001











